» Statics 23
» Statics 22
» Statics 21
» Statics 20
» Statics 19
» Statics 18
» Statics 17
» Statics 16
» Statics 15
» Statics 14
» Statics 13
» Statics 12
» Statics 11
» Statics 10
» Statics 9
» Statics 8
» Statics 7
» Statics 6
» Statics 5
» Statics 4
» Statics 3
» Statics 2
» Statics 1

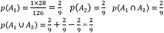
We now use the very definition of probability to determine the following:
are among the chosen 4 persons?
The basic definition of probability of an event A is: 

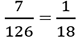
while the fourth will be chosen among the remaining 7 persons in 7C1=7 ways. There is only one way to choose the three particular persons, while there will be 7 ways to choose the remaining one. Hence, from rule (7):
N(A)=1×7=7.
are among the chosen 4 persons?
Here, N(S)=126.
, while the other 2 will be chosen among the 8 remaining persons in 8C2=28 ways. 
are chosen?
N(S)=126, as in the previous cases.
is chosen and
is not.
is chosen and
is not.
and
are both chosen.


| Dr. Magdi Fouad Abadir,Ph. D.: Dr. M. F. Abadir is currently a professor with the Chemical Engineering Department at the Faculty of Engineering, University of Cairo, Egypt. His major interests are in the fields of high temperature science and technology. During his career, he has supervised more than 110 MSc and PhD theses and published more than a hundred papers mostly in international peer review journals. He currently teaches courses in High Temperature Technology and Industrial Statistics. He is also a consultant for several industrial businesses. |