The World of Statistics (1)

By Dr. Magdi Abadir, PhD

Article – 14: Measures of Dispersion (4)


2.4 The standard deviation and coefficient of variation of grouped data

In case of grouped data, the determination of the standard deviation and subsequently the coefficient of variation is slightly different. First, it is necessary to differentiate between whether we intend to investigate dispersion in a population or in a sample. This is since two different formulas are used in each case.

Standard deviation of a population

Let us assume that a megastore sells items in different price categories. In that case we are dealing with a population where the number of items in each category will follow a certain distribution as in the following table:

Price $
0 – 10
10 – 20
20 – 30
30 – 40
40 – 50
50 – 60
60 – 70
Number
240
320
400
400
580
350
250


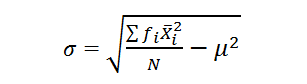
In case of population, the standard deviation is calculated from the formula:


Here, ƒɩ represents the total number of items in class (ɩ), x̄ɩ the mean value of class (ɩ), N the total number of items(∑ƒɩ) and μ the average selling price defined by:


The calculations are illustrated in the following table:

x̄ɩ
5
15
25
35
45
55
65
Sum
Number
240
320
400
400
580
350
250
2540
ƒɩ, x̄ɩ
1200
4800
10000
14000
26100
19250
16250
91600
6000
72000
250000
490000
1174500
1058750
1056250
4107500


Therefore

Therefore,
The coefficient of variation


Standard deviation of a sample

Let’s assume now that an instructor chooses at random 50 students from a large graduating cohort and sets to estimate the standard deviation of their scores in their graduation project (out of 50). Now we are in presence of a sample of size 50. Let the distribution be as follows:

Scores
0 – 10
10 – 20
20 – 30
30 – 40
40 – 50
Number
1
4
15
20
10


The formula for the standard deviation takes the form:


The following table shows the calculations

x̄ɩ
5
15
25
35
45
Sum
Number
1
4
15
20
10
50
ƒɩ, x̄ɩ
5
60
375
700
450
1590
25
900
9375
24500
20250
55050


Therefore,


The coefficient of variation



References:
(1) W. J. De Coursey “Statistics and Probability for Engineering Applications” Newness Ed., Chapter 3.


Dr. Magdi Fouad Abadir, Ph. D.: Dr. M. F. Abadir is currently a professor with the Chemical Engineering Department at the Faculty of Engineering, University of Cairo, Egypt. His major interests are in the fields of high temperature science and technology. During his career, he has supervised more than 110 MSc and PhD theses and published more than a hundred papers mostly in international peer review journals. He currently teaches courses in High Temperature Technology and Industrial Statistics. He is also a consultant for several industrial businesses.