» Statics 23
» Statics 22
» Statics 21
» Statics 20
» Statics 19
» Statics 18
» Statics 17
» Statics 16
» Statics 15
» Statics 14
» Statics 13
» Statics 12
» Statics 11
» Statics 10
» Statics 9
» Statics 8
» Statics 7
» Statics 6
» Statics 5
» Statics 4
» Statics 3
» Statics 2
» Statics 1

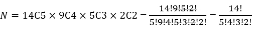
If the choice is random, then the number of ways of performing all possible choices will be:


It was decided that there was no point having them together in that committee. This way, either
only or
only will be chosen or both will be discarded. In the first two events, the choice will be 9C3 and in the third case, 8C4. The total number of possible ways to form the committee will be: 



items on several sites so that there will be
items to the first site,
items to the second,
items to the third, etc., then the total number of possible ways of carrying out the distribution will be:

| Dr. Magdi Fouad Abadir,Ph. D.: Dr. M. F. Abadir is currently a professor with the Chemical Engineering Department at the Faculty of Engineering, University of Cairo, Egypt. His major interests are in the fields of high temperature science and technology. During his career, he has supervised more than 110 MSc and PhD theses and published more than a hundred papers mostly in international peer review journals. He currently teaches courses in High Temperature Technology and Industrial Statistics. He is also a consultant for several industrial businesses. |